рефераты скачать
 
Главная | Карта сайта
рефераты скачать
РАЗДЕЛЫ

рефераты скачать
ПАРТНЕРЫ

рефераты скачать
АЛФАВИТ
... А Б В Г Д Е Ж З И К Л М Н О П Р С Т У Ф Х Ц Ч Ш Щ Э Ю Я

рефераты скачать
ПОИСК
Введите фамилию автора:


Шпаргалка: Билеты по химии 10 класс

Соли — электролиты, в растворах которых есть кати­оны металлов или ион аммония и анионы кислотных остатков.

Названия: название аниона + название катиона в ро­дительном падеже + степень окисления металла.

1.B водных растворах соли могут реаги­ровать со щелочами. Так, хлористый магний MgCl2 взаимодействует с едким натром, образуя новую соль и новое основание:

2. Соли могут реагировать с кислотами. Так, раствор азотнокислого бария Ва(гЮз)а взаимодействует с рас­твором серной кислоты, образуя новую кислоту и новую соль:

З.В водных растворах соли могут реаги­ровать между собой.

Если слить вместе водные растворы хлористого кальция CaCl2 я углекислого натрия Na2CO3 TO тотчас же образуется белый оса­док нерастворимого в воде углекислого кальция СаСО3, а в рас­творе — хлористый натрий:

4. В водных растворах солей металл, вхо­дящий в их состав, может замещаться дру­гим металлом, стоящим до него в ряду ак­тивности.

Если в раствор сернокислой меди опустить чистую железную проволоку или кусочек цинка, то на их поверхности выделяется медь, а в растворе образуется сернокислое железо (если было опущено железо) или сернокислый цинк (если был опущен цинк):

Но из сернокислого цинка нельзя вытеснить цинк медью: медь в ряду активности стоит после цинка.

Билет №18.

Гидролиз солей (разобрать первую стадию гидролиза солей, образованных сильным основанием и слабой кислотой, слабым основанием и сильной кислотой).

Взаимодействие ионов соли с водой, в результате которого образуются малодиссоциирующие соединения (ионы или молеку­лы), называют гидролизом соли

Четыре типа солей, которые по-разному взаимодей­ствуют с водой.

I. Соль образована сильным основанием и сильной кислотой.

NaCI + НОН — ни один из ионов соли с водой не вза-имодействет. Реакция среды нейтральная.

II. Соль образована сильным основанием и слабой кислотой.

- реакция среды щелоч­ная.

Гидролиз солей, образованных сильным основанием и слабой кислотой, заключается в присоединении анионами кислотного остатка ионов водорода и накоплении в растворе гидроксид-ионов, образующихся при диссоциации воды.

Теперь выясним, почему раствор хлорида алюминия приобрел кислую реакцию среды. В растворе АlСl3 диссоциирует на ионы:

Столкновение ионов Н+ и С– к образованию соединения не приводит. Из имеющихся в растворе ионов малодиссоциирующий продукт образуют ионы Аl3+ и ОН–. Связывание ионов ОН– в малодиссоциирующий ион АlOН2+ (К= 1,38 • 10–9) вызывает дальнейший распад молекул воды на ионы:

Таким образом, в растворе хлорида алюминия осуществляет­ся реакция, в результате которой появляется избыток ионов Н+, т. е. раствор приобретает кислую реакцию. Подобным образом ведут себя в растворах все соли, образованные слабым основа­нием и сильной кислотой.

III. Соль образована слабым основанием и сильной кислотой.

— реакция среды кислая.

Гидролиз соли, образованной слабым основанием и сильной кислотой, заключается в присоединении катионами металла гидроксид-ионов и накоплении в растворе ионов водорода, образую­щихся при диссоциации воды. Гидролиз хлорида алюминия можно выразить уравнением реакции:

IV. Соль образована слабым основанием и слабой кислотой.

Реакция среды зависит от сравнительной силы кисло­ты и основания. В некоторых случаях гидролиз идет до конца:

Билет №19.

Коррозия металлов (химическая и электрохимическая). Способы предупреждения коррозии.

Разрушение металлов и сплавов вследствие химического взаимодействия их с окружающей средой называются коррозией металлов.

Коррозию, вызванную непосредственным химическим взаимодействием между металлом и окружающей средой, называют химической коррозией.

Химическая коррозия — окисление металла без воз­никновения гальванической пары. Газовая коррозия — при t > 600°С:

Коррозию, сопровождающуюся возникновением электрического тока за счет появления гальванической пары, называют электрохимической коррозией.

Электрохимическая коррозия – разрушение металла в электролите с возникновением гальванической пары.

 – ионы выходят в раствор, электроны перемещаются к менее активному металлу, например к меди.

 – разряжаются на менее активном ме­талле, например на меди.

Одним из наиболее широко распространенных видов элек­трохимической коррозии является ржавление обычной стали в водной среде и на воздухе. На поверхности металлических изделий всегда имеется пленка влаги, адсорбированной из воз­духа. Она является электролитом, так как в ней растворены раз­личные газы (СО2, SO2 и др.). Зерна карбида железа Fe3С химически менее активны, чем железо. Поэтому возникают микрогальваническис элементы: зерна Fe3С играют роль катодов, а зерна чистого железа — роль анодов. Железо разрушается — оно ржавеет. Протекающие при этом процессы весьма сложные. Укажем лишь суммарное уравнение реакции:

Ржавчина имеет неопределенный состав

Для защиты от коррозии металлов широко используют лако­красочные покрытия. Однако краски не вечны, изделия прихо­дится перекрашивать. На это затрачивается ручной труд, расхо­дуется много лакокрасочных материалов.

Из неметаллических покрытий для защиты стали и чугуна большое значение имеет эмаль. Эмаль — это силикатное стекло с добавками оксидов металлов. Ее наносят на поверхность ма­териала в виде порошка и обжигают при 500—1000 °С.

Покрытия из эмалей обладают стойкостью по отношению к щелочам и кислотам, длительно противостоят атмосферной кор­розии. Но эмаль легко разрушается при ударе. Благодаря тер­мостойкости, декоративному виду, легкости очистки эмаль широ­ко используется для покрытия изделий домашнего хозяйства и санитарной техники.

С целью защиты металлов от коррозии (и для декоративных целей) издавна используют металлические покрытия. Железо оцинковывают, лудят (покрывают оловом), покрывают никелем, хромируют и т. д.

Защитить металл от коррозии можно с помощью металла и другим способом. Например, если соединить железное изделие или сооружение проводником с куском более активного металла, например магния, то возникает гальванический элемент. При этом сооружение (железо) играет роль катода, а более активный металл выполняет роль анода. Анод разруша­ется, а катод — защищаемый металл — не изменяется. Такая защита называется протекторной.

Одним из способов борьбы с коррозией является использова­ние ингибиторов. Это химические соединения, ничтожные кон­центрации которых способны почти полностью предотвращать коррозию. В некоторых случаях применение ингибиторов позво­ляет изготовлять аппаратуру из обычной стали вместо нержа­веющей.

Одно из наиболее эффективных направлений борьбы с кор­розией  металлов — создание коррозионно-стойких сплавов. В больших количествах выплавляют так называемые нержавею­щие стали. В их состав входят металлы (хром, никель), обра­зующие устойчивые защитные оксидные пленки.

Билет №20.

Окислительно-восстановительные реакции (разобрать на примерах взаимодействия алюминия с оксидом железа (III), азотной кислоты с медью).

К окислительно-восстановительным реакциям могут быть отнесены химические реак­ции следующих типов.

Реакции замещения (вытеснения)

Примером реакций этого типа может служить реакция между оксидом железа (III) и алюминием. В этой реакции алюминий вытесняет железо из раствора, причем сам алюминий окисляется, а железо восстанавливается.

Приведем еще два примера:

В этой реакции хлор вытесняет бром из раствора (хлор окисляется, бром восстанавливается), содержащего ионы брома.

Реакции металла с кислотами

Эти реакции, в сущности, тоже представляют собой реакции замещения. В качестве примера приведем реакцию между медью и азотной кислотой. Медь вытесняет водород из кислоты. При этом происходит окисление меди, которая превращается в гидратированный катион, а содержащиеся в растворе кислоты гидратированные протоны азота восстанавливаются, образуя оксид азота.

Реакции металлов с водой

Эти реакции тоже принадлежат к типу реакций замещения. Они сопровождаются вытеснением из воды водорода в газообразном состоянии. В качестве примера приведем реакцию между металлическим натрием и водой:

Реакции металлов с неметаллами

Эти реакции могут быть отнесены к реакциям синтеза. В качестве примера приведем образование хлорида натрия в результате сгорания натрия в атмосфере хлора

Билет №21.

Железо, положение в периодической системе, строение атома, возможные степени окисления, физические свойства, взаимодействие с кислородом, галогенами, растворами кислот и солей. Сплавы железа. Роль железа в современной технике.

Железо находится в побочной подгруппе VIII группы периодической системы. Электронная формула атома железа:

Типичные степени окисления железа +2 и +3. Степень окисления +2 проявляется за счет потери двух 4s-электронов. Степень окисления +3 соответствует также при потере еще одного Зd-электрона, при этом Зd-уровень оказывается заполненным наполовину; такие электронные конфигурации относительно устойчивы.

Физические свойства. Железо – типичный металл, образует металлическую кристаллическую решетку. Железо проводит электрический ток, довольно тугоплавко, температура плавления 1539°С. От большинства других металлов железо отличается способностью намагничиваться.

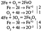
Химические свойства. Железо реагирует со многими неметаллами:

Образуется железная окалина – смешанный оксид железа. Его формулу записывают также так: FeО•Fe2О3.

Реагирует с кислотами с выделением водорода:

Вступает в реакции замещения с солями металлов, расположенных правее железа в ряду напряжений:

Соединения железа. FeО — основной оксид, реагирует с растворами кислот с образованием солей железа (II). Fe2О3 — амфотерный оксид, реагирует также с рас творами щелочей.

Гидроксиды железа. Fe(ОН)2 — типичный основ­ной оксид, Fe(ОН)3 обладает амфотерными свойствами, реагирует не только с кислотами, но и с концентриро­ванными растворами щелочей.

Гидроксид железа (II) легко окисляется до гидроксида железа (III) кислородом воздуха:

При реакции солей железа (II) и (III) со щелочами в осадок выпадают нерастворимые гидроксиды:

Сплавы железа. Современная металлургическая промышленность производит железные сплавы разнообразного состава.

Все железные сплавы разделяются по составу и свойствам на две группы. К первой группе относятся различные сорта чугуна, ко второй — различные сорта стали.

Чугун хрупок; стали же пластичны, их можно ковать, прокаты^ вать, волочить, штамповать. Различие в механических свойствах чугунов и сталей зависит прежде всего от содержания в них угле­рода — в чугунах содержится около 4% углерода, а в сталях — обычно менее 1,4%.

В современной металлургии из железных руд получают сначала чугун, а затем из чугуна — сталь. Чугун выплавляют в доменных печах, сталь варят в сталеплавильных печах. До 90% всего вы­плавленного чугуна перерабатывают в стали.

Чугун. Чугун, предназначенный для переработки в сталь, на­зывают передельным чугуном. Он содержит от 3,9 до 4,3% С, 0,3—1,5% Si, 1,5—3,5% Мn, не более 0,3% Р и не более 0,07% S. Чугун, предназначенный'для получения отливок, назы­вается литейным чугуном, В доменных печах выплав­ляются также ферросплавы, применяемые преимущест­венно в производстве сталей в качестве добавок. Ферросплавы имеют, по сравнению с передельным чугуном, повышенное со­держание кремния (ферросилиций), марганца (ферромарганец), хрома (феррохром) и других элементов.

Стали. Все стали делятся на углеродистые и легированные.

Углеродистые стали содержат в несколько раз меньше углерода, кремния и марганца, чем чугун, а фосфора и серы совсем мало. Свойства углеродистой стали зависят прежде всего от содержания в ней углерода: чем больше в стали углерода, тем она твёрже. Промышленность производит мягкие стали, стали средней твёрдости и твёрдые. Мягкие стали и стали средней твёр­дости применяются для изготовления деталей машин, труб, болтов, гвоздей и т. д., а твёрдые стали—для изготовления инструментов.

В сталях должно быть возможно меньше серы и фосфора, так как эти примеси ухудшают механические свойства сталей. В по­вышенных количествах сера вызывает красноломкость — образо­вание трещин при горячей механической обработке металла. Фосфор вызывает хладноломкость—хрупкость стали при обыкно­венной температуре. -

Легированные стали. Физические, химические и механические свойства сталей существенно изменяются от введе­ния в их состав повышенного количества марганца и кремния, а также хрома, никеля, вольфрама и других элементов. Эти элементы называются легирующими, а стали — легированными [от латинского слова ligare – связывать, соединять].

Наиболее широко в качестве легирующего элемента приме­няется хром. Особенно большое значение для сооружения машин, аппаратов и многих деталей машин имеют хромоникелевые стали. Эти стали обладают высокой пластичностью, проч­ностью, жаростойкостью и стойкостью к действию окислителей. Азотная кислота любой концентрации не разрушает их даже при температурах кипения. Хромоникелевые стали не ржавеют в атмосферных условиях и в воде. Блестящие, серебристого цвета, листы хромоникелевой стали украшают арки станции «Маяков­ская» Московского метро. Из этой же стали делают нержавеющие ножи, ложки, вилки и другие предметы домашнего обихода.

Молибден и ванадий повышают твёрдость и прочность сталей при повышенных температурах и давлениях. Так, хромомолибденовые и хромованадиевые стали приме­няются для изготовления трубопроводов и деталей компрессо­ров в производстве синтетического аммиака, авиационных моторов.

При резании с большой скоростью инструмент сильно разогре­вается и быстро изнашивается. При добавлении вольфрама твёр­дость стали сохраняется и при повышенных температурах. По­этому хромовольфрамовые стали применяются для из­готовления режущих инструментов, работающих при больших скоростях    '

Увеличение содержания в стали марганца повышает её сопро­тивление трению и удару. Марганцовистые стали применяются для изготовления железнодорожных скатов, стре­лок, крестовин, камнедробильных машин.

Применение легированных сталей позволяет значигельно сни­зить вес металлических конструкций, повысить их прочность, дол­говечность и надёжность в эксплуатации.

Билет №22.

Высшие кислородосодержащие кислоты химических элементов третьего периода, их состав и сравнительная характеристика свойств.

Фосфор образует целый ряд кислородсодержащих кислот (оксокислот). Некоторые из них мономерны. например фосфиновая, фосфористая и фосфорная(V) (ортофосфорная) кислоты. Кислоты фосфора могут быть одноосновными (однопротонными) либо многоосновными (многопротонными). Кроме того, фосфор образует еще полимерные оксокислоты. Такие кислоты могут иметь ациклическое либо циклическое строение. Например, дифосфорная(V) (пирофосфорная) кислота представляет собой димерную оксокислоту фосфора.

Наиболее важной из всех этих кислот является фосфорная(V) кислота (другое ее название - ортофосфорная кислота). При нормальных условиях она представляет собой белое кристаллическое вещество, расплывающееся при поглощении влаги из воздуха. Ее 85%-ный водный раствор называют «сиропообразной фосфорной кислотой». Фосфорнця(V) кислота является слабой трехосновной кислотой:

Хлор образует несколько кислородсодержащих кислот. Чем выше степень окисления хлора в этих кислотах, тем выше их термическая устойчивость и сила кислоты:

НОCl < НСlO2 < НСlO3 < НClO4

НClO3 и НClO4 – сильные кислоты, причем НСlO4 – одна из самых сильных среди всех известных кислот. Остальные две кислоты лишь частично диссоциируют в воде и существуют в водном растворе преимущественно в молекулярной форме. Среди кислородсодержащих кислот хлора только НСlO4 удается выделить в свободном виде. Остальные кислоты существуют только в растворе.

Окислительная способность кислородсодержащих кислот хлора уменьшается с возрастанием его степени окисления:

НОСl и НClO2 – особенно хорошие окислители. Например, кислый раствор НОCl:

1) окисляет ионы железа (II) до ионов железа (III):

2) на солнечном свету разлагается с образованием кислорода:

3) при нагревании приблизительно до 75 °С он диспропорционирует на хлорид-ионы и хлорат (V)-ионы:

Остальные высшие кислотсодержащие кислоты элементов третьего периода (H3AlO3, H2SiO3) более слабые, чем фосфорная кислота. Серная кислота (H2SO4) менее сильнае, чем хлорная (VII) кислота, но более сильная, чем фосфорная кислота. Вообще, при увеличении степени окисления элемента, образующего кислоту, увеличивается сила самой кислоты:

H3AlO3 < H2SiO3 < H3PO4 < H2SO4 < НСlO4

Билет №23.

Общие способы получения металлов.

Металлы находятся в природе преимущественно в виде соеди­нений. Только металлы с малой химической активностью (благо­родные металлы) встречаются в природе в свободном состоянии (платиновые металлы, золото, медь, серебро, ртуть). Из кон­струкционных металлов в достаточном количестве имеются в природе в виде соединений лишь железо, алюминий, магний. Они образуют мощные залежи месторождений относительно бо­гатых руд. Это облегчает их добычу в больших масштабах.

Поскольку металлы в соединениях находятся в окисленном состоянии (имеют положительную степень окисления), то полу­чение их в свободном состоянии сводится к процессу восста­новления:

Этот процесс можно осуществить химическим или электро­химическим путем.

При химическом восстановлении в качестве восстановителя чаще всего применяют уголь или оксид углерода (II), а также водород, активные металлы, кремний. С помощью оксида углерода (II) получают железо (в доменном процессе), многие цвет­ные металлы (олово, свинец, цинк и др.):

Восстановление водородом используется, например, для по­лучения вольфрама из оксида вольфрама (VI):

Применение в качестве восстановителя водорода обеспечивает наибольшую чистоту получаемого металла. Водород используют для получения очень чистого железа, меди, никеля и других ме­таллов.

Способ получения металлов, в котором в качестве восста­новителя применяют металлы, называют металлотермическим. В этом способе в качестве восстановителя используют активные металлы. Примеры металлотермических реакций:

алюминотермия:

магниетермия:

Металлотермические опыты получения металлов впервые осу­ществил русский ученый Н. Н. Бекетов в XIX в.

Металлы наиболее часто получают восстановлением их окси­дов, которые в свою очередь выделяют из соответствующей при­родной руды. Если исходной рудой являются сульфидные мине­ралы, то последние подвергают окислительному обжигу на­пример:

Электрохимическое получение металлов осуществляется при электролизе расплавов соответствующих соединений. Таким путем получают наиболее активные металлы, щелочные и ще­лочноземельные металлы, алюминий, магний.

Электрохимическое восстановление применяют также для ра­финирования (очистки) «сырых» металлов (меди, никеля, цинка и др.), полученных другими способами. При электролитическом рафинировании в качестве анода используют «черновой» (с при­месями) металл, в качестве электролита — раствор соединений данного металла.

Способы получения металлов, осуществляемые при высоких температурах, называют пирометаллургическими (по-гречески pyr — огонь). Многие из этих способов известны с древних времен. На рубеже XIX—XX вв. начинают развиваться гидро­металлургические способы получения металлов (по-гречески hydor—вода). При этих способах компоненты руды переводят в водный раствор и далее выделяют металл электролитическим или химическим восстановлением. Так получают, например, медь. Медную руду, содержащую оксид меди (II) CuО, обрабатывают разбавленной серной кислотой:

Для восстановления меди полученный раствор сульфата меди (II) либо подвергают электролизу, либо действуют на раствор порошком железа.

Гидрометаллургический способ имеет большое будущее, так как позволяет получать продукт, не извлекая руду из земли. (Сравните достоинства гидрометаллургического способа получе­ния металлов с подземной газификацией угля.)


Страницы: 1, 2, 3


рефераты скачать
НОВОСТИ рефераты скачать
рефераты скачать
ВХОД рефераты скачать
Логин:
Пароль:
регистрация
забыли пароль?

рефераты скачать    
рефераты скачать
ТЕГИ рефераты скачать

Рефераты бесплатно, реферат бесплатно, рефераты на тему, сочинения, курсовые работы, реферат, доклады, рефераты, рефераты скачать, курсовые, дипломы, научные работы и многое другое.


Copyright © 2012 г.
При использовании материалов - ссылка на сайт обязательна.